Menu
Close
Lecture Notes
Semester 1
Semester 2
Semester 3
Semester 4
Solutions
Semester 1
Semester 2
Semester 3
Semester 4
PYQs
Semester 1
Semester 2
Semester 3
Semester 4
About
LECTURE NOTES
Semester 2
Elements of AIML
<
Course Content
Unit 5
Unit 4[Prof. A]
Unit 4[Prof. B]
Unit 3[Prof. A]
Unit 3[Prof. B]
Unit 2
Unit 1
>
AEM-2
<
Course Content-End Semester
Unit 5:Introduction to PDEs and Applications
Unit 4:Integral Transforms
Unit 2:Infinite Series and Introduction to Complex Analysis
Unit 1:Numerical Methods and Optimization
Numerical Methods Book
Complex Variables(Schaum's Outline Series) Book
>
Physics [Theory]
<
Course Content [Midterms Update]
Unit 4:Semiconductor Physics
Unit 3:Quantum Mechanics
Unit 2:Electromagnetic Theory
Unit 1.5:Coordinate System
Unit 1:Lasers,Holography & Optical Fibers
Unit 1 [Handwritten]
>
Digital Electronics
<
Course Content
Unit 5
Unit 4
Unit 3
Unit 2
Unit 1
GOD Tier Notes[All Units]
Book
Unit 1[Handwritten]
>
Computer Organisation & Architecture
<
Course Content
Additional Notes
Unit 6: Pipelining
Unit 5: Input Output Organisation
Unit 4: Memory Organisation
Unit 1+2+3
Book:Morris Mano
Unit 3:Basic Computer Organisation & Design
Unit 2:Control Unit Organisation
Unit 1:Digital Computers
Reference Book
>
Python
<
Course Content [Theory]
Course Content [Lab]
Unit 1: Introduction to Python[A]
Unit 1: Introduction to Python[B]
Unit 2: Collections and Functions[A]
Unit 2: Collections and Functions[B]
>
Data Structures
<
Course Content[Lab+Theory]
Unit 5: Hash Table & Graphs
Unit 4: Trees
Unit 3: Stacks & Queues
Unit 2:Linked Lists
Unit 1:Introduction to DSA[A]
Unit 1:Introduction to DSA[B]
Data Structures
>
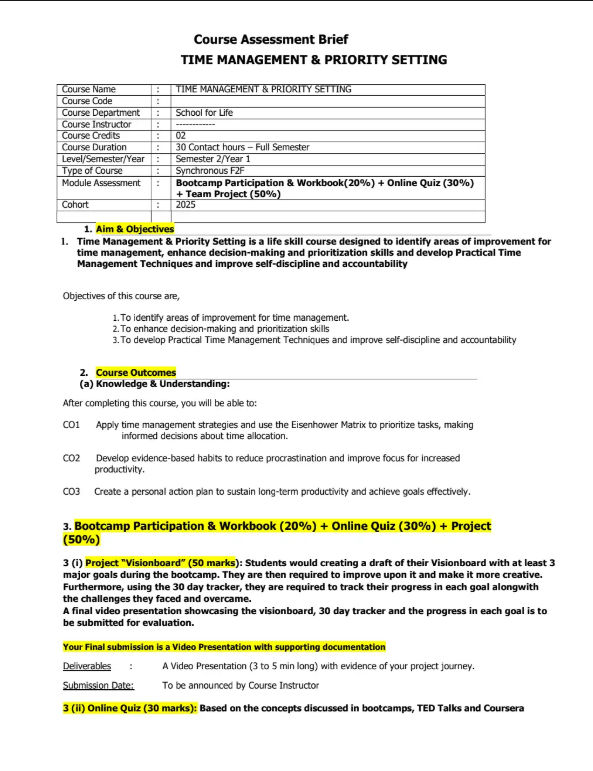
Time Management & Priority Setting
<
Course Content
Workbook
>
EVS Living Lab
<
Class Activities & Group Projects
>
Physics [LAB]
<
Course Content
Experiments List
Physics Lab Manual
Lab File Format SOP
>
"The content is provided to assist you in your studies, with the expectation that you uphold academic integrity and avoid plagiarism."